• Предмет: Математика
  • Автор: zxwmuuur
  • Вопрос задан 7 лет назад

помогите пожалуйста нужно расписать ​

Приложения:

Ответы

Ответ дал: natalyvd
0

Ответ:

Пошаговое объяснение:

на фото

Приложения:
Ответ дал: eleonorausenko13
0

Ответ:

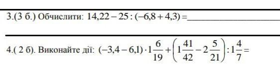
14,22-25:(-6,8+4,3)= 14,22-25÷(-2,5)=14,22-25÷(5/2)=14,22+25÷2/5=14,22+5×2=14,22+10=24,22

(-3,4-6,1)×1 6/19+(1 41/42 - 2 5/21)÷1 4/7= -9,5×16/19+(83/42-47/21)×4/7= -19/2×16/19-11/42×4/7= -3-11/21×2/7= -3-22/147= -463/147= -3 22/147

Вас заинтересует