• Предмет: Математика
  • Автор: merbayanbayeva
  • Вопрос задан 7 лет назад

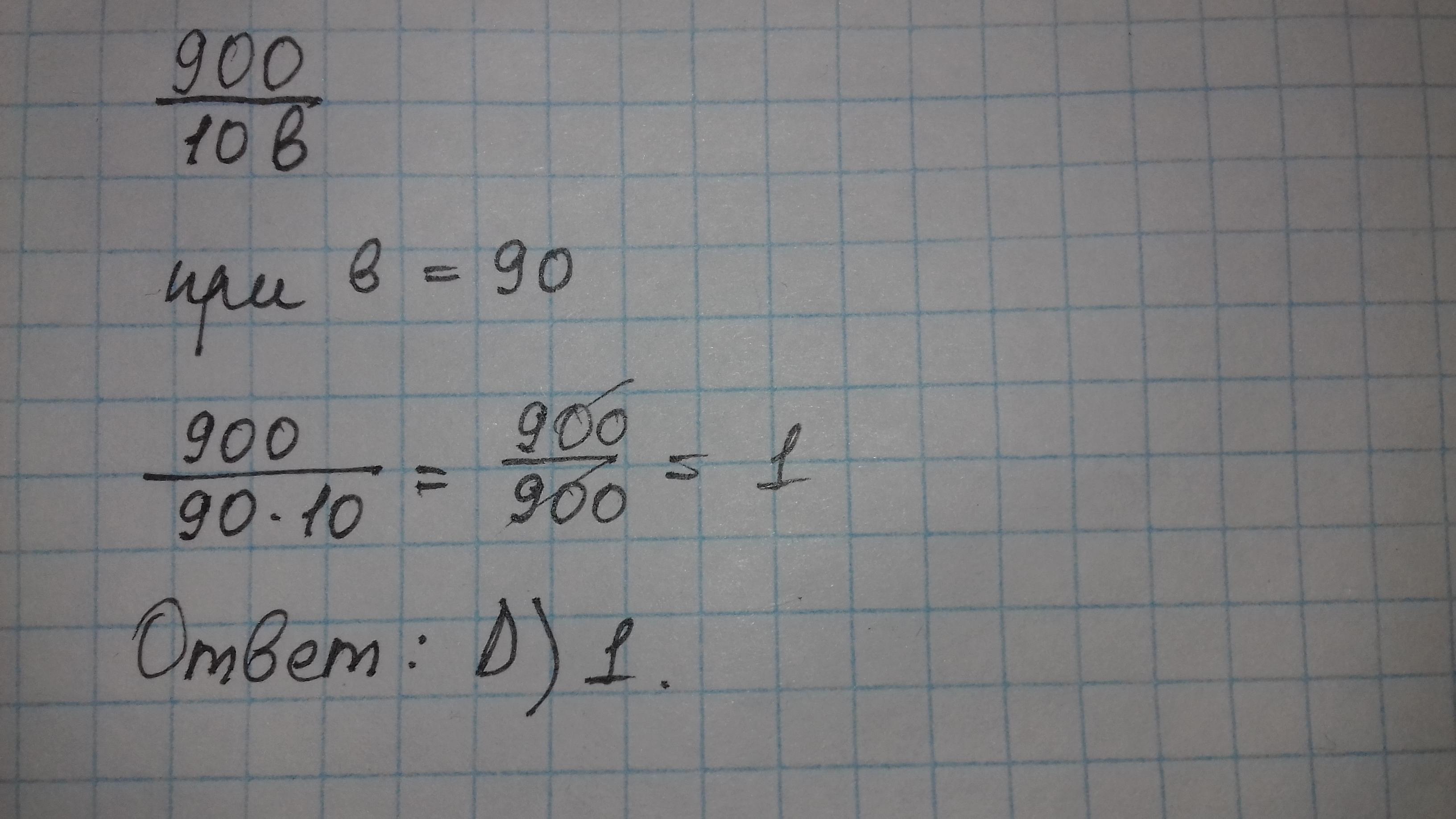
Укажи значение выражения 900 :b× 10 при b = 90. А) 10 B) 1 000 C) 100 D) 1​

Ответы

Ответ дал: leonardi9
2

Ответ:

С

Объяснение

900:90*10=100


merbayanbayeva: спасибо
leonardi9: пожалуйста
Ответ дал: sadykovanatalya2004
2

Ответ:

Смотри фото ниже.

Пошаговое объяснение:

Приложения:
Вас заинтересует