• Предмет: Математика
  • Автор: VKSgloriex
  • Вопрос задан 7 лет назад

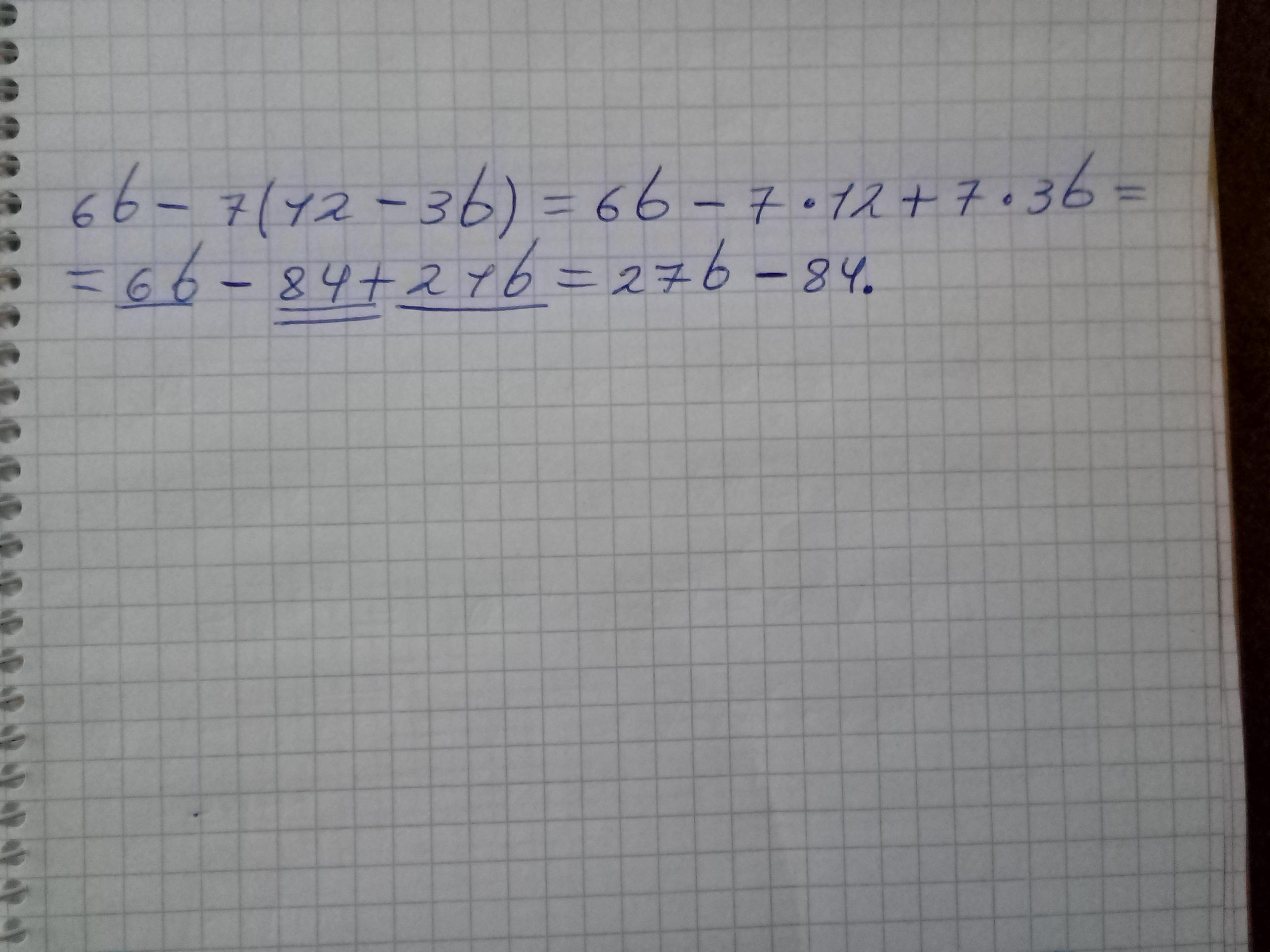
Помогите упростить выражение
6b-7(12-3b)=?
Нужно срочно(

Ответы

Ответ дал: ihor22wooy
1

ОтветОтвет:

Пошаговое объяснение:

решение на фото, удачи!

Приложения:
Вас заинтересует