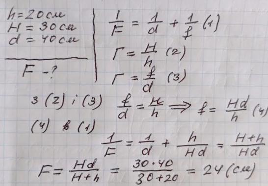
Предмет висотою 20 см розміщений на відстані 40 см від збиральної лінзи. Визначте фокусну відстань лінзи, якщо висота зображення 30 см.
Ответы
Ответ дал:
3
Ответ: 24 см
Объяснение: Див. додаток
Приложения:

Вас заинтересует
2 года назад
2 года назад
2 года назад
2 года назад