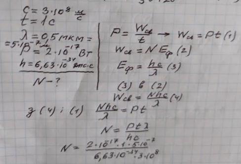
Скільки фотонів потрапляє за 1 с в око людини, якщо воно сприймає світло з довжиною хвилі 0,5 мкм при потужності світлового поток 2 * 10 ^ - 17 BT?
Ответы
Ответ дал:
2
Ответ: 50
Объяснение: Див. додаток
Приложения:

Вас заинтересует
2 года назад
2 года назад
8 лет назад
8 лет назад
9 лет назад
9 лет назад