• Предмет: Математика
  • Автор: alexmeln200
  • Вопрос задан 7 лет назад

x-4,9=-2,6 Помогите пожалуйста

Ответы

Ответ дал: vikasuhareva2001
2

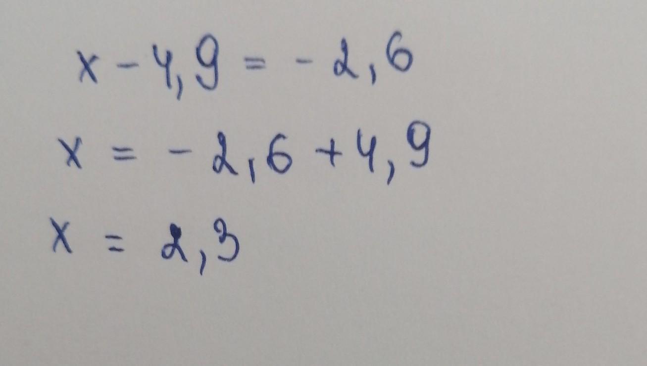
Ответ:

На фото..........................

Приложения:

alexmeln200: Спасибо
vikasuhareva2001: не за что)
Ответ дал: OblivionFire
1

Ответ:

2.3

Пошаговое объяснение:

Правило: Чтобы найти уменьшаемое, надо к разности прибавить вычитаемое.

х - 4,9 = -2,6

х = -2,6 + 4,9

х = 4,9 - 2,6

х = 2,3

Вас заинтересует