• Предмет: Математика
  • Автор: ДамаЛора
  • Вопрос задан 7 лет назад

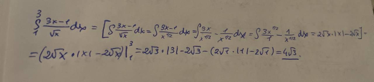
Вычислить интеграл. 3 вверху 1 внизу (3х - 1)/корень из х dx

Приложения:

Ответы

Ответ дал: yevheniiavz
1

смотрите фото...........................

Приложения:
Вас заинтересует