• Предмет: Математика
  • Автор: Alinamuu88864
  • Вопрос задан 7 лет назад

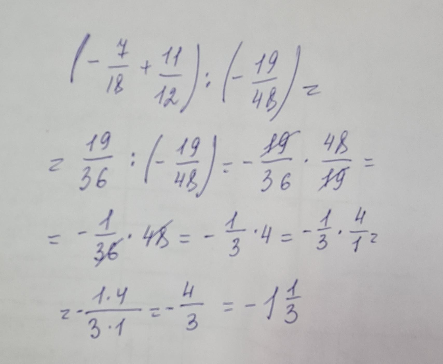
найдите значение выражения:

Приложения:

miki68: =(-14/36+33/36)*(-48/19)=19/36*(-48/19)= - 8/6= - 1 1/3

Ответы

Ответ дал: tasha82v26
1

Ответ:

Пошаговое объяснение:

смотри в файле..........

Приложения:
Вас заинтересует