Ответы
Ответ дал:
0
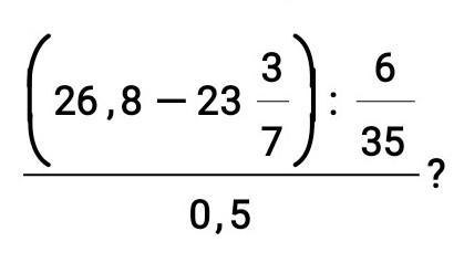
на фото..............
Приложения:

Вас заинтересует
2 года назад
8 лет назад
9 лет назад