• Предмет: Математика
  • Автор: rokotuss
  • Вопрос задан 7 лет назад

РЕШИТЕ ПОЖАЛУЙСТА ДАМ 30 БАЛЛОВ​

Приложения:

Ответы

Ответ дал: tamc
0

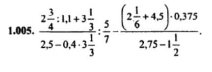
\frac{2\frac{3}{4}:1,1+3\frac{1}{3}}{2,5-0,4*3\frac{1}{3}}:\frac{5}{7}-\frac{(2\frac{1}{6}+4,5)*0,375}{2,75-1\frac{1}{2}}=\frac{\frac{11}{4}*\frac{10}{11}+3\frac{1}{3}}{2\frac{1}{2}-\frac{4}{10}*\frac{10}{3}}*\frac{7}{5}-\frac{(2\frac{1}{6}+4\frac{1}{2})*\frac{375}{1000}}{2\frac{3}{4}-1\frac{1}{2}}=\frac{7}{5}*\frac{2\frac{1}{2}+3\frac{1}{3}}{2\frac{1}{2}-1\frac{1}{3}}-\frac{6\frac{4}{6}*\frac{3}{8}}{1\frac{1}{4}}=\frac{7}{5}*\frac{5\frac{5}{6}}{1\frac{1}{6}}-\frac{\frac{40}{6}*\frac{3}{8}}{\frac{5}{4}}=

\frac{7}{5}*\frac{\frac{35}{6}}{\frac{7}{6}}-\frac{\frac{5}{2}}{\frac{5}{4}}=\frac{7}{5}*5-2=7-2=5

Ответ: 5


rokotuss: можно по действиям
Вас заинтересует