• Предмет: Геометрия
  • Автор: vzryvmozga739
  • Вопрос задан 7 лет назад

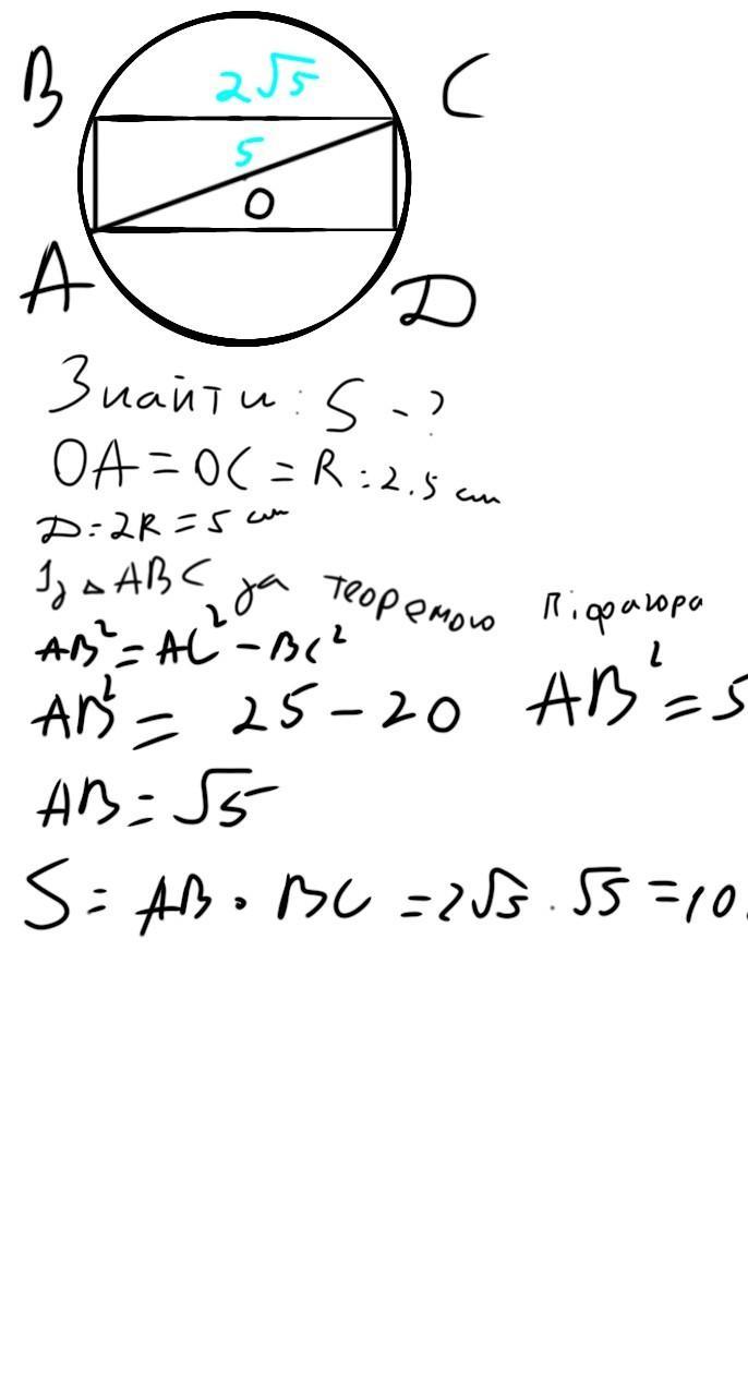
Найдите площадь прямоугольника (в см), вписанного в окружность с радиусом 2,5 см, если одна из его сторон равна 2√5см

Ответы

Ответ дал: lemonchik7525
1

Ответ:

10 см²

Объяснение:

Сподіваюся допомогла)

Приложения:

vzryvmozga739: Огромное спасибо, выручил!
Вас заинтересует