• Предмет: Математика
  • Автор: Аноним
  • Вопрос задан 7 лет назад

помогите пожалуйста​

Приложения:

imyanetfamiliasekret: щас,я помогу!
imyanetfamiliasekret: подожди немного
Аноним: спасибо
Аноним: спасибо ещё раз ты лутший
Аноним: ㋛︎
Аноним: ☺︎︎
imyanetfamiliasekret: поставишь?
imyanetfamiliasekret: ☺☺☺
imyanetfamiliasekret: не за что

Ответы

Ответ дал: imyanetfamiliasekret
4

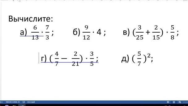
а)Сокращаем 6 и 3,получаем 2/13 и 7/1.Перемножаем:2 на 7 и 13 на 1,получаем 14/13=1 целая 1/13.

Дальше на фотке!

НАДЕЮСЬ Я ПОМОГ ТЕБЕ.

ПОСТАВЬ ЛУЧШИЙ ОТВЕТ!!!

Приложения:

imyanetfamiliasekret: это правильно
imyanetfamiliasekret: прошу
imyanetfamiliasekret: поставишь лучший ответ?
Аноним: как
imyanetfamiliasekret: через несколько часов тебе придёт такое уведомление-"нравятся ответы?"Выбери лучший ответ.Когда это уведомление придёт нажми на сообщение,затем нажми отметить как лучший ответ и тебе дадут дополнителные 3 балла.Понятно?
imyanetfamiliasekret: ты мне не поставила
SLOWMASTER: ты меня знаешь?
SLOWMASTER: это мой 2 аккаунт
turkmenistan225: спасибо за лучший ответ
Аноним: не за что
Вас заинтересует