Ответы
Ответ дал:
1
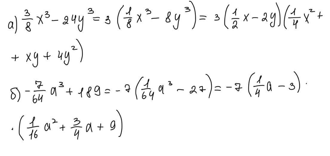
Решение на фото
Надеюсь была полезна <З
Удачи :з
Надеюсь была полезна <З
Удачи :з
Приложения:

dreamer312:
ха-ха. ты думаешь мне важна твоя оценка?) ошибаешься.
Вас заинтересует
2 года назад
2 года назад
2 года назад
8 лет назад
8 лет назад
9 лет назад