Помогите пожалуйста.Сроооооочноооооооо
прошу

Ответы
Ответ:
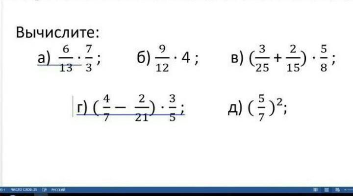
а) 1) сокращаем 6 и 3, получаем 2/13 и 7/1. Перемножаем: 2 на 7 и 13 на 1, получаем 14/13=1 целая 1/13
б) Сначала делаем из целой дробь и получаем такой пример: 9/12 умножить на 4/1, сокращаем 4 и 12, получаем: 9/3 и 1/1, перемножаем, получаем 9/3. Сокращаем на 3: 3/1, что равно 3 целым.
в) Первым решаем то, что в скобках. Надо найти общий знаменатель:
25*3=75; 15*5=75. Теперь умножаем на то же число числитель: 3*3=9; 2*5=10. Получаем: 9/75+10/75=19/75. Дальше, раскрыв скобки, мы получаем 19/75*5/8. Сокращаем 5 и 75, получаем: 19/15*1/8. Перемножаем и получаем: 19/120. Т.к. 19-простое число, а 120 ровно на 19 не делится, то оставляем такую дробь.
г) 1. Скобки. Находим общий знаменатель(21) и, перемножив дроби, получаем: 12/21-2/21=10/21.
2. 10/21*3/5. Сокращаем 10 и 5; 21 и 3, получаем: 2/7*1/1=2/7
д) Тут всё очень просто 5/7*5/7=25/49. Не знаю как сократить, поэтому оставляй дробь такой.