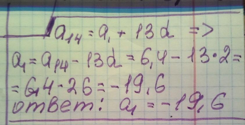
Знайти перший елемент арифметичної прогресії, якщо чотирнадцятий її елемент дорівнює 6,4, а різниця дорівнює 2
Ответы
Ответ дал:
4
Ответ:
решение смотри на фотографии
Приложения:
maksgame0929:
Просто, ты самый лучший человек в мире)
Вас заинтересует
2 года назад
2 года назад
3 года назад
3 года назад
8 лет назад
8 лет назад
10 лет назад
10 лет назад