• Предмет: Математика
  • Автор: kamilmatematik100504
  • Вопрос задан 7 лет назад

..................................

Приложения:

plus380972527679: х=2??
kamilmatematik100504: а решение ?

Ответы

Ответ дал: leprekon882
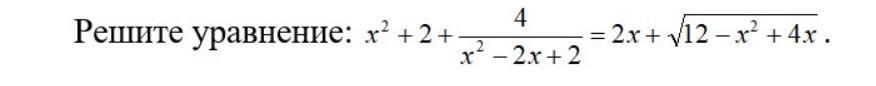
1

x^2+2+\dfrac{4}{x^2-2x+2}=2x+\sqrt{12-x^2+4x}

(x-1)^2+1+\dfrac{4}{(x-1)^2+1}=\sqrt{16-(x-2)^2}

Поскольку (x-1)^2+1 > 0 для любых x, то применимо неравенство Коши:

(x-1)^2+1+\dfrac{4}{(x-1)^2+1}\geq2\sqrt{\Big((x-1)^2+1\Big)\cdot \dfrac{4}{(x-1)^2+1}}=4

Правая часть уравнения f(x)=\sqrt{16-(x-2)^2}\geq0 на области определения. Наименьшее значение в точке x=2 равное 4

Ответ: x = 2.

Вас заинтересует