• Предмет: Математика
  • Автор: aleksandarshnipov
  • Вопрос задан 7 лет назад

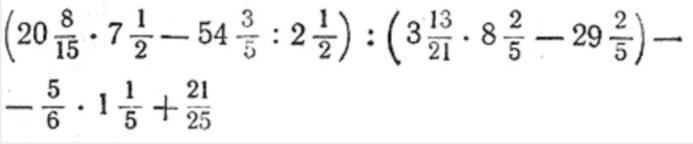
Помогите решите столбиком

Приложения:

Ответы

Ответ дал: iminjanovsherzod018
1

Ответ:

Пошаговое объяснение:

Приложения:
Вас заинтересует