• Предмет: Математика
  • Автор: antonsulga36
  • Вопрос задан 7 лет назад

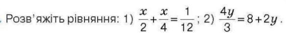
Розв'яжіть рівняння со спільним знамен. ​

Приложения:

Ответы

Ответ дал: Dmutro2512
1

Відповідь:

1) х/2+х/4=1/12

6х+3х=1

9х=1

х=1/9

2)4у/3=8+2у

4у=24+6у

4у-6у=24

-2у=24

у=24/-2

у=-12

Покрокове пояснення: Можна будь ласка лучший ответ))


Dmutro2512: извини бро, щя перепишу
Dmutro2512: во
antonsulga36: спасибо,но а спільний знаменник какой?
Dmutro2512: х; у
Dmutro2512: У першому спільний знаменик х, а у другому у
antonsulga36: Понял
Вас заинтересует