• Предмет: Математика
  • Автор: rispeyugne
  • Вопрос задан 7 лет назад

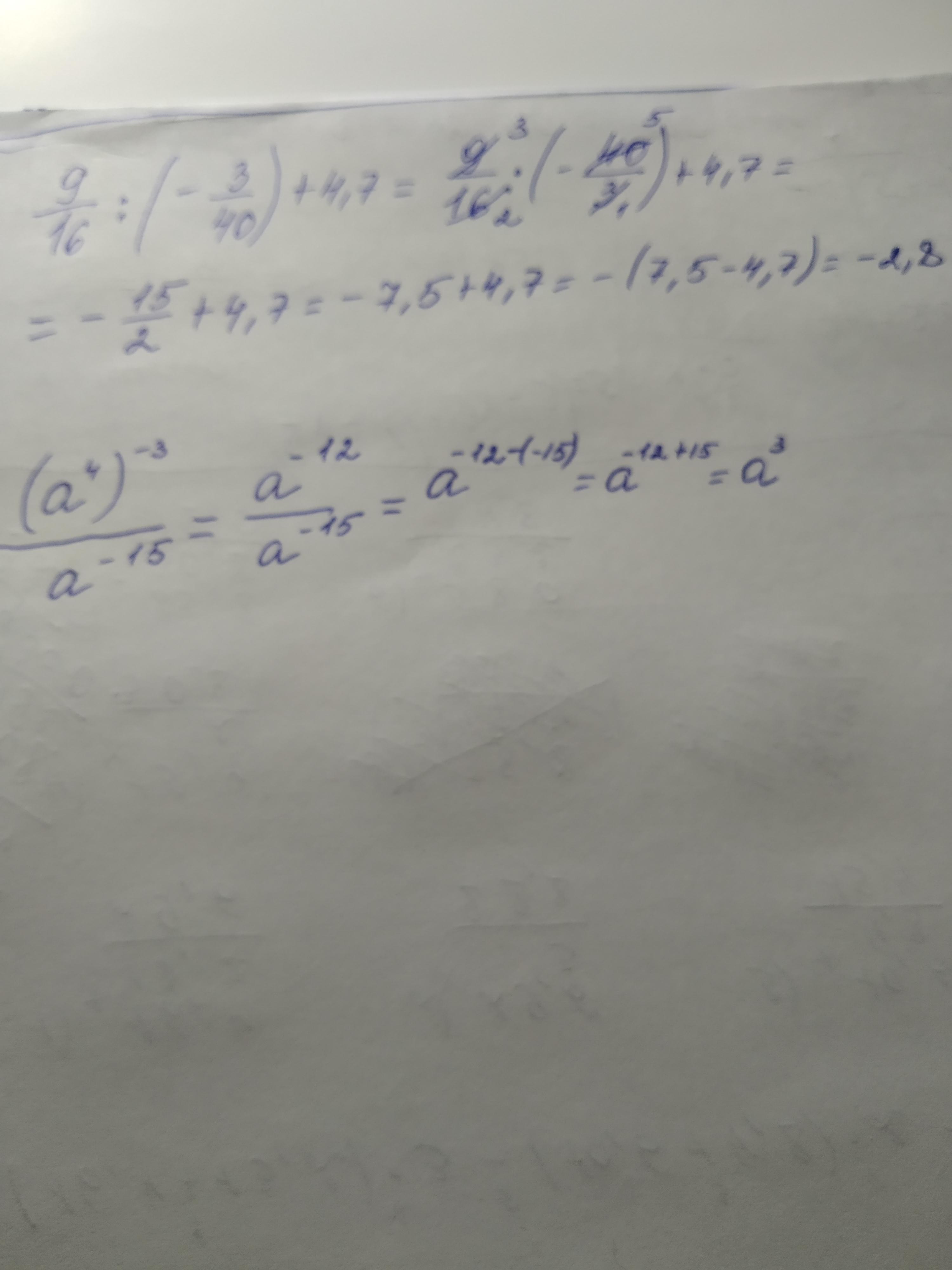
9/16:(-3/40)+4.7=
(a*4)*-3/a*-15=
/-дробь
*-степень
Решите пж

Ответы

Ответ дал: nuscha2015
1

Ответ:

Пошаговое объяснение:

Приложения:
Вас заинтересует