Вычислите значение функции z (x, y). Значение переменных x и y задайте самостоятельно путем ввода с клавиатуры.
Приложения:

verayasakova20ovyolp:
паскаль
Ответы
Ответ дал:
0
------------------
Pascal ABC
------------------
var
x, y, z:real;
function Pow(number, exponent: real): real;
begin
Pow:=Exp(exponent*Ln(number));
end;
begin
(x, y):=ReadReal2('Введите x и y через пробел: ');
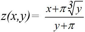
z:=(x + Pi * Pow(y, 1/3)) / (y + Pi);
write('z(', x, ', ', y, ') = ', z:0:3);
end.
Приложения:

Вас заинтересует
2 года назад
2 года назад
2 года назад
2 года назад
8 лет назад