• Предмет: Геометрия
  • Автор: Аноним
  • Вопрос задан 7 лет назад

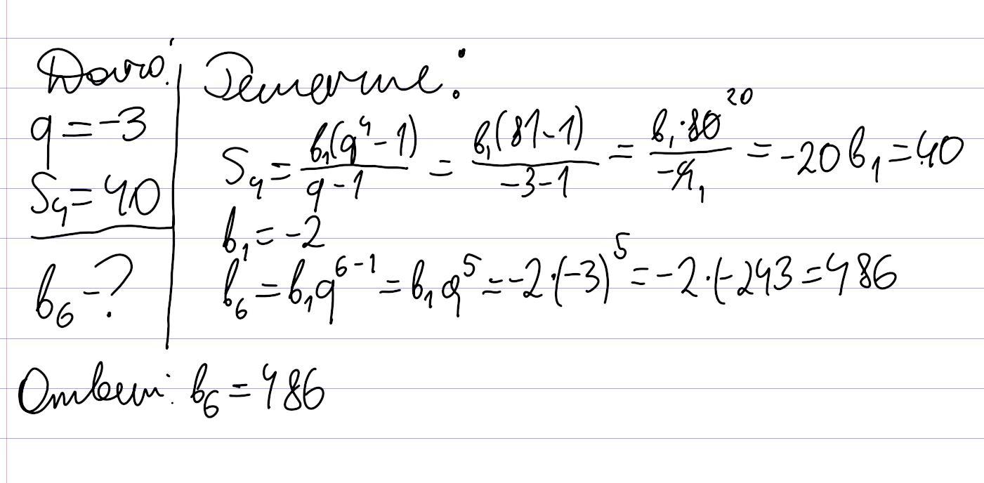
Знаменник геометричної прогресії дорівнює -3, а сума чотирьох перших членів — 40. Знайдіть шостий член цієї прогресії​

Ответы

Ответ дал: itsnight69
1

Ответ:

486

Объяснение:

все в рисунке

Приложения:

itsnight69: СТОЙ, ОТВЕТ 486, я случайно написал, а изменить тут нельзя
itsnight69: ОТВЕТ 486
itsnight69: о, все, изменил
Аноним: я виду, спасибо большое!
itsnight69: не за что
Ответ дал: atsuri
0

Ответ:

486

Объяснение:

b₁ - первый член геометрической прогрессии

q - знаменатель прогрессии

Сумма n первых членов геометрической прогрессии:

S_n=\dfrac{b_1(1-q^n)}{1-q}, если q\ne0

По условию задачи S_4=40. Значит:

40=\dfrac{b_1(1-(-3)^4)}{1-(-3)}\;\;\Rightarrow\;\;b_1=\dfrac{40\cdot(1-(-3))}{1-(-3)^4}=\dfrac{40\cdot4}{1-81}=\dfrac{160}{-80}=-2

n-ый член геометрической прогрессии:

b_n=b_1\cdot q^{n-1}\;\;\Rightarrow\;\;b_6=b_1\cdot q^{6-1}=b_1\cdot q^5

b_6=-2\cdot(-3)^5=-2\cdot(-243)=486

Вас заинтересует