• Предмет: Алгебра
  • Автор: Salvatruchi2621
  • Вопрос задан 7 лет назад

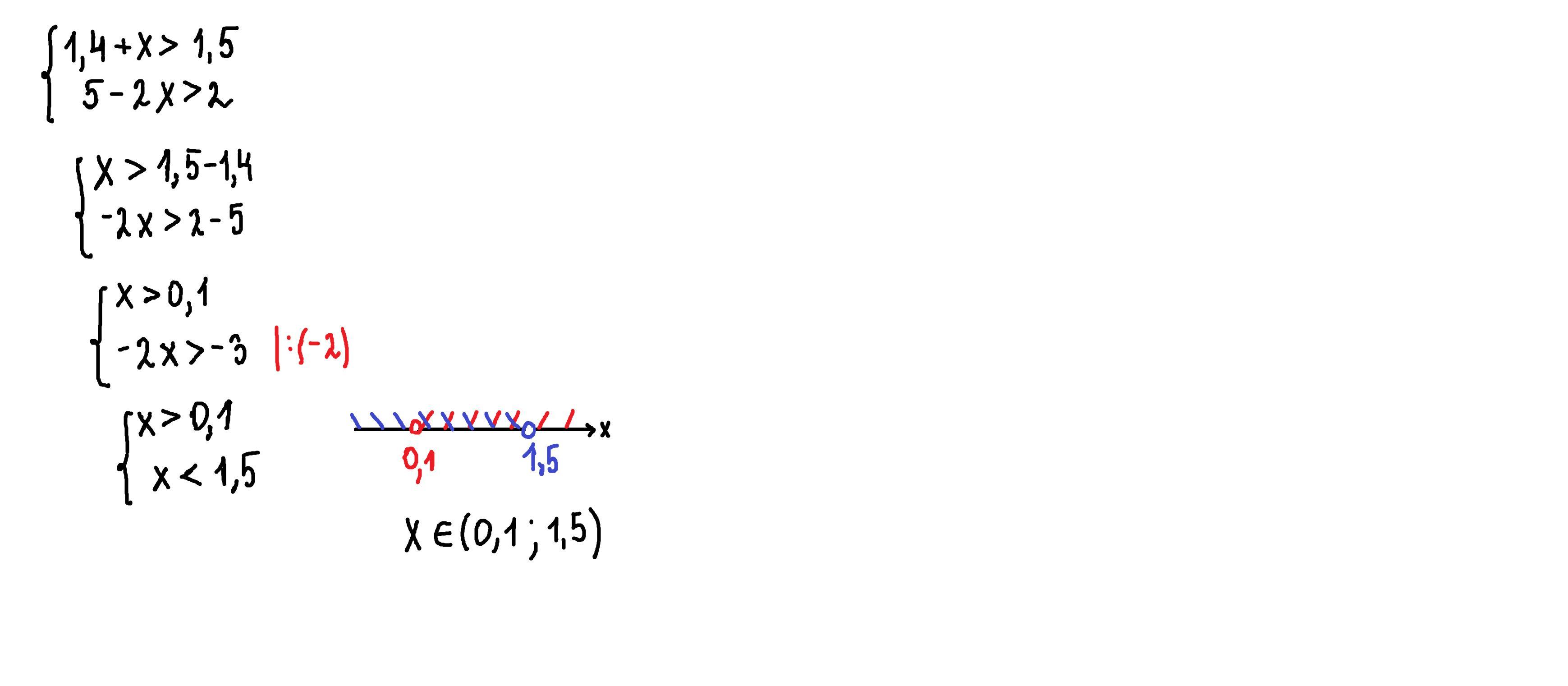
1,4+x>1,5
5-2x>2
Решить систему неравенств

Ответы

Ответ дал: parus77
0

Ответ:

х∈(0,1;1,5)

Объяснение:

Приложения:
Вас заинтересует