• Предмет: Алгебра
  • Автор: Orange92
  • Вопрос задан 7 лет назад

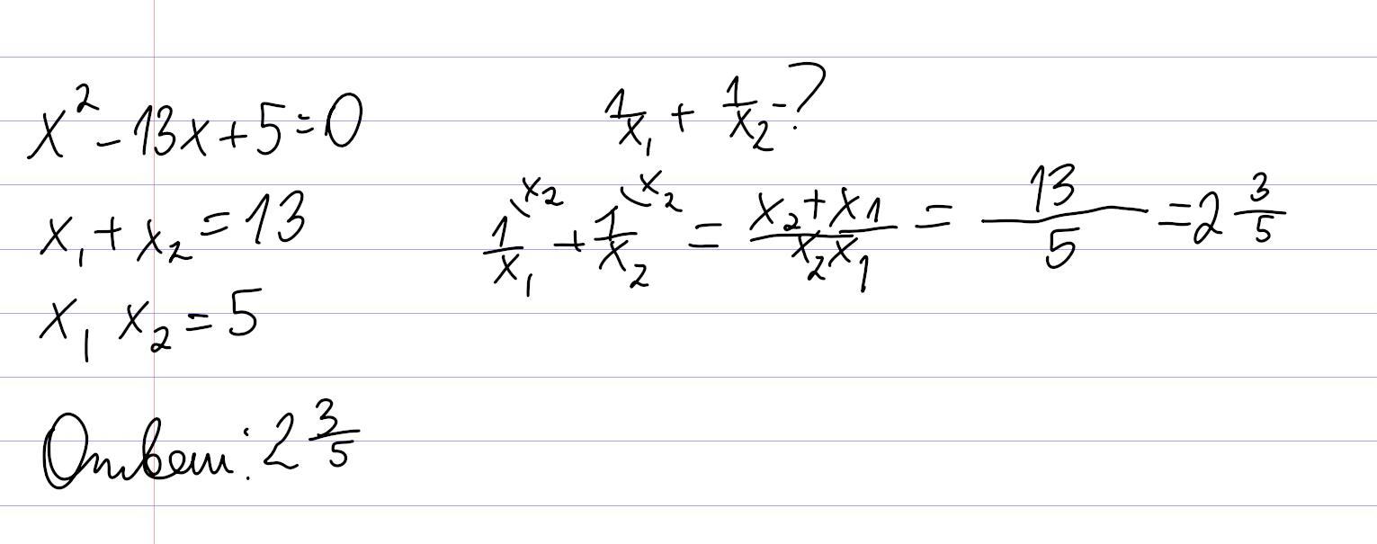
Відомо що x1 i x2 корені рівняння х²-13х+5=0.Не розв'язуючи рівняння,знайдіть значення виразу
 \frac{1}{x1}  +  \frac{1}{x2}

Ответы

Ответ дал: itsnight69
0

Ответ:

2+3/5

Объяснение:

все решение в рисунке

Приложения:
Вас заинтересует