• Предмет: Алгебра
  • Автор: Offbokser6406
  • Вопрос задан 7 лет назад

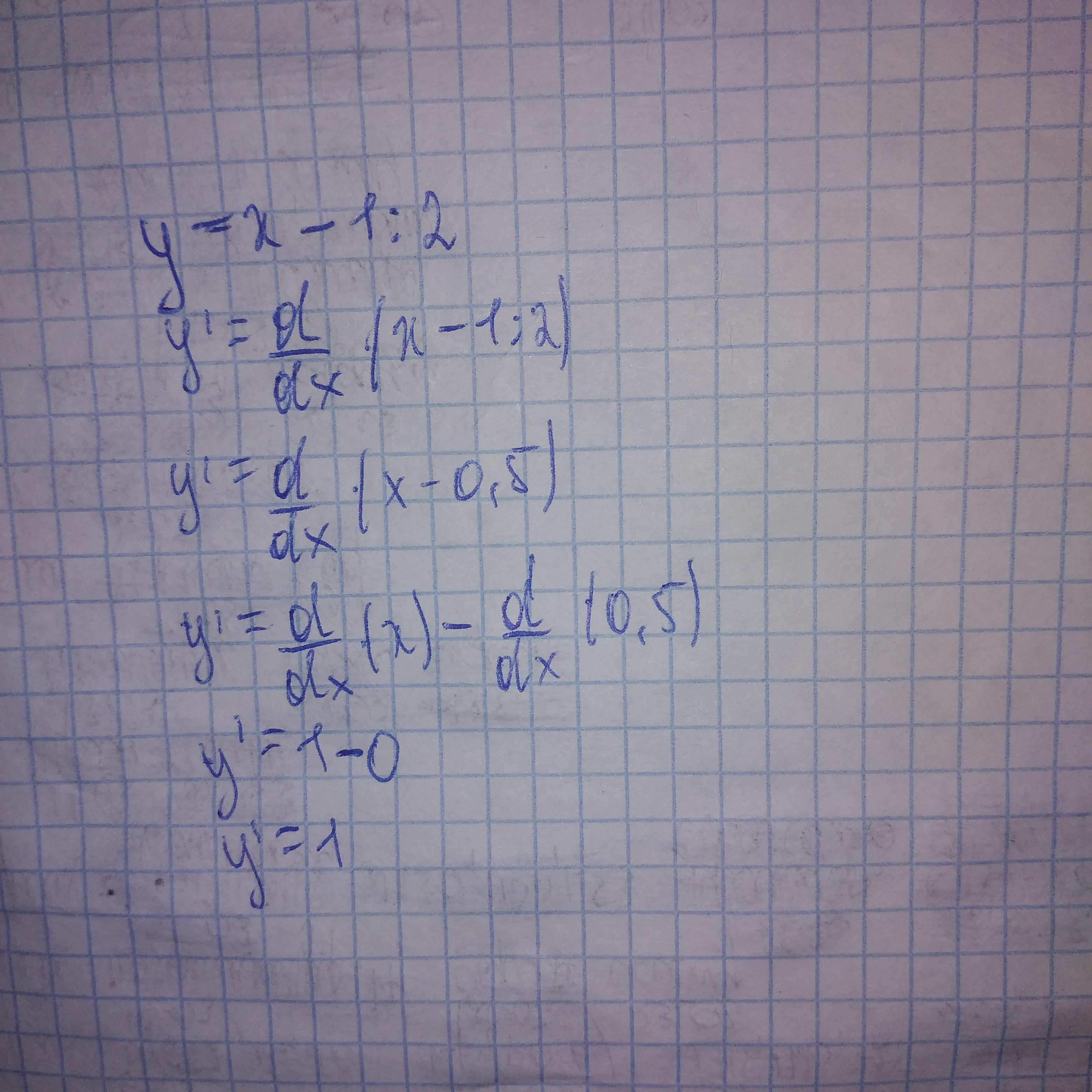
y=x-1/2 знайдіть похідну функції

Ответы

Ответ дал: 98456312006A
0

ответ на фото, которое ниже

Приложения:
Вас заинтересует