• Предмет: Математика
  • Автор: Jack1557
  • Вопрос задан 7 лет назад

розвязати рівняння (х+0,05):0,4=37,7-13,5

Ответы

Ответ дал: dreamer312
0

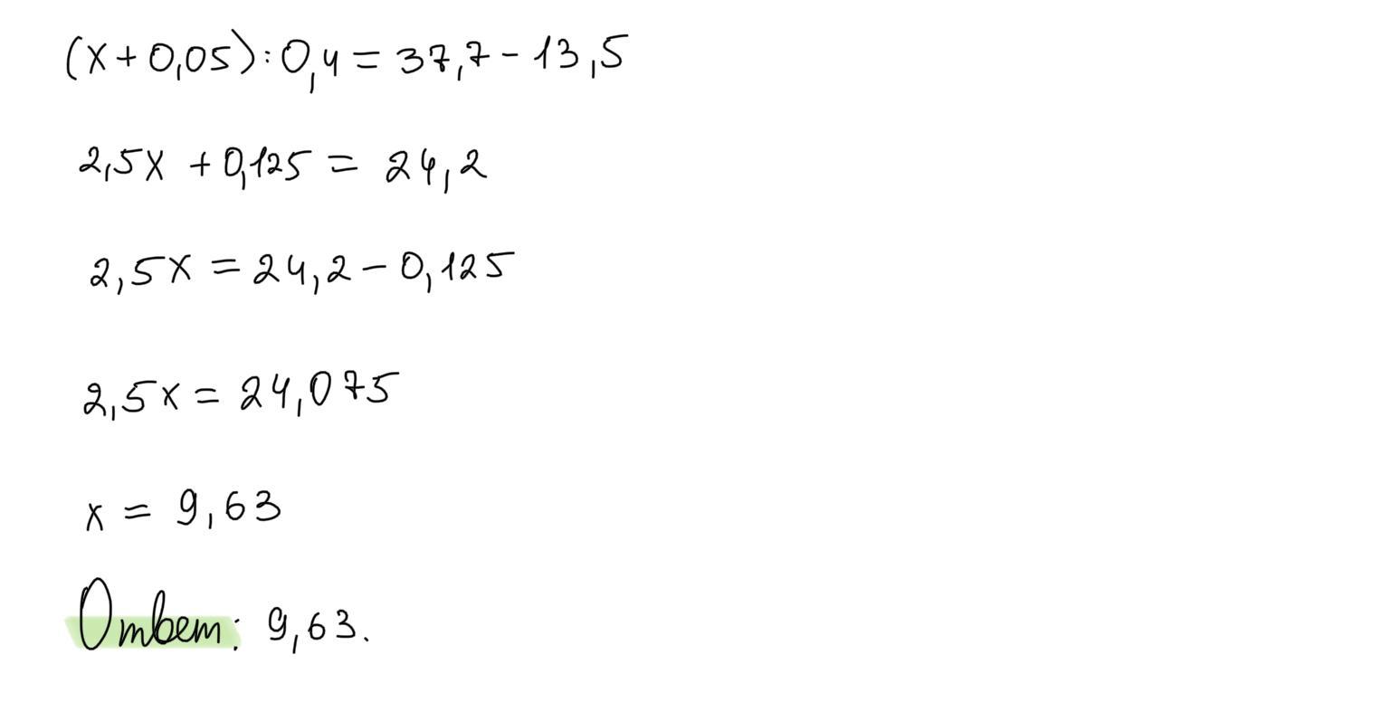
Решение на фото

Надеюсь помогла <З

Удачи:з

Приложения:
Ответ дал: Аноним
1

Ответ:

х = 9.63

Пошаговое объяснение:

(х + 0.05) : 0.4 = 37.7 - 13.5

Преобразуем десятичную дробь в обыкновеную

(х + 1\20) : 2\5 = 37.7 - 13.5

(х + 1\20) : 2\5 = 24.2

(х + 1\20) : 2\5 = 121\5

Чтобы разделить на дробь,  необходимо сделать умножение на выражение, обратное этой дроби

(х + 1\20) * 5\2 = 121\5

Распределим 5\2 через скобки

5\2х+1\8

Умножаем обе части уравнения на 40

100х + 5 = 968

100х = 968 - 5

100х = 963

х = 963\100

х = 9.63

Вас заинтересует