• Предмет: Математика
  • Автор: elnaraekeibai
  • Вопрос задан 7 лет назад

5-3(x-2(x-2(x-2)))=2 помагите пожалуйста ​

Ответы

Ответ дал: ludmilaksenija2005
0

Пошаговое объяснение:

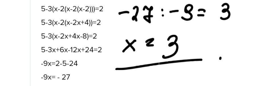
5-3(x-2(x-2(x-2)))=2

5-3(x-2(x-2x+4))=2

5-3(x-2x+4x-8)=2

5-3x+6x-12x+24=2

-9x=2-5-24

-9x= - 27

X=3

Ответ дал: Sleepyprincesska
1
Ответ: вот в принципе если знать форулу или уметь раскрывать скобки то все получится.
УД АЧ И••••

Приложения:
Вас заинтересует