• Предмет: Геометрия
  • Автор: arinasmirnova034
  • Вопрос задан 7 лет назад

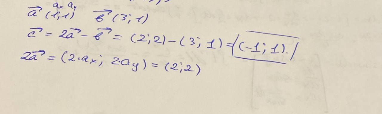
Знайдіть координати вектора с=2а-b, якщо а(1;1) b(3;1).​

Ответы

Ответ дал: yevheniiavz
3

дивіться фото...................................

Приложения:
Вас заинтересует