Ответы
Ответ дал:
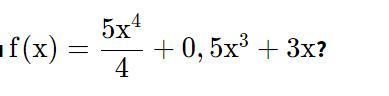
1
Ответ:
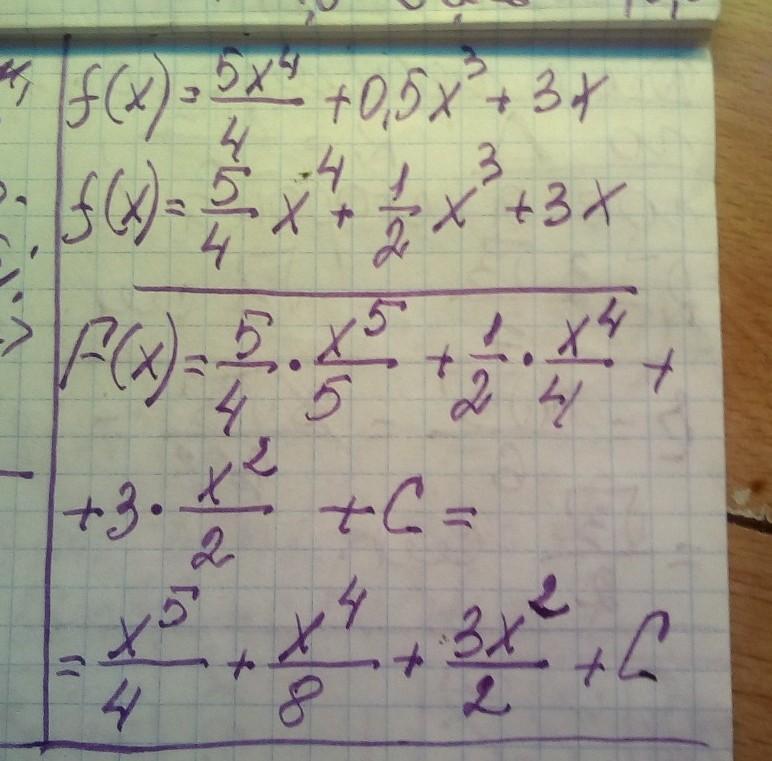
решение смотри на фотографии
Приложения:

samueldecado:
спасибо и сможете ещё помочь вот на этот вопрос https://znanija.com/task/48638370
Вас заинтересует
2 года назад
2 года назад
2 года назад
2 года назад
8 лет назад
8 лет назад
9 лет назад
9 лет назад