• Предмет: Математика
  • Автор: Аноним
  • Вопрос задан 7 лет назад

Помогите нужно з розписом очень срочно даю 30 Балов !!!​

Приложения:

Ответы

Ответ дал: d758139
2

Ответ:

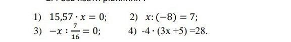
1) 15,57 * x = 0

x = 0

Проверка: 15,57 * 0 = 0

2) х : (-8) = 7

х = 7 * (-8)

х = - 56

проверка: -56 : (-8) = 7

3) - х : 7/16 = 0

х = 0

4) -4 * (3х+5) = 28

- 12х - 20 = 28

-12х = 28 + 20

-12х = 48

-12х = 48:12

-х = 4

х = -4

Пошаговое объяснение:

1) Потому что для получения результата "0" нужно умножить на это же число. Для получения ответа "0" нужно умножить на это же число, так как любое число, умножение или поделенное на ноль - будет равняться нулю. 15,57 * 0 = 0. Значит х равен нулю. По этой системе появился данный ответ.

2) Мы переносим восьмёрку с другим знаком. 7 * 8 будет 56. Плюс на минус даёт минус.

3) Если ответ уравнения равен нулю, то значит х равен нулю. Получаем ноль мы лишь при данном случае. Как сказано вышел, любое число (без разницы положительное или нет), поделенное или умноженное на ноль - равняется нулю. (тоже самое, что и в первом)

4) Мы умножаем -4 на числа в скобках по одному. Переписываем. переносим 20 на другую сторону с другим знаком. 48 делим на 12, это 4. так как перед х минус, мы убираем его, меняя знак у противоположного значения.

( украинский: 1) Тому що для отримання результату "0" потрібно помножити на це ж число. Для отримання відповіді " 0 " потрібно помножити на це ж число, так як будь - яке число, множення або поділене на нуль-буде дорівнювати нулю. 15,57 * 0 = 0. Значить х дорівнює нулю. За цією системою з'явився даний відповідь.

2) ми переносимо вісімку з іншим знаком. 7 * 8 буде 56. Плюс на мінус дає мінус.

3) Якщо відповідь рівняння дорівнює нулю, то значить х дорівнює нулю. Отримуємо нуль ми лише при даному випадку. Як сказано вище, будь-яке число (без різниці позитивне чи ні), поділене або помножене на нуль - дорівнює нулю. (теж саме, що і в першому)

4) ми множимо -4 на числа в дужках по одному. Переписувати. переносимо 20 на іншу сторону з іншим знаком. 48 ділимо на 12, це 4. так як перед х мінус, ми прибираємо його, змінюючи знак у протилежного значення.

белорусский: 1) Таму што для атрымання выніку " 0 " трэба памножыць на гэта ж лік. Для атрымання адказу " 0 " трэба памножыць на гэта ж лік, так як любы лік, множанне або падзеленае на нуль - будзе раўняцца нулю. 15,57 * 0 = 0. Значыць х роўны нулю. Па гэтай сістэме з'явіўся дадзены адказ.

2) мы пераносім васьмёрку з іншым знакам. 7 * 8 будзе 56. Плюс на мінус дае мінус.

3) Калі адказ ўраўненні роўны нулю, то значыць х роўны нулю. Атрымліваем нуль мы толькі пры дадзеным выпадку. Як сказана выйшаў, любы лік (без розніцы станоўчае ці не), падзеленае або памножанае на нуль-раўняецца нулю. (таксама самае, што і ў першым).

4) мы памнажаем -4 на лікі ў дужках па адным. Перапісваць. пераносім 20 на іншую бок з іншым знакам. 48 дзелім на 12, гэта 4. бо перад х мінус, мы прыбіраем яго, змяняючы знак у супрацьлеглага значэння.

Переведено с переводчиком, поэтому извиняюсь за корявость)


matilda17562: Пояснение "1) Потому что для получения результата "0" нужно умножить на это же число" лишено доказательного смысла. Впишите, пожалуйста, полное решение. То же замечание и для уравнения 3).
Вас заинтересует