• Предмет: Алгебра
  • Автор: Аноним
  • Вопрос задан 7 лет назад

Помогите решить, с объяснением!

Приложения:

Ответы

Ответ дал: dreamer312
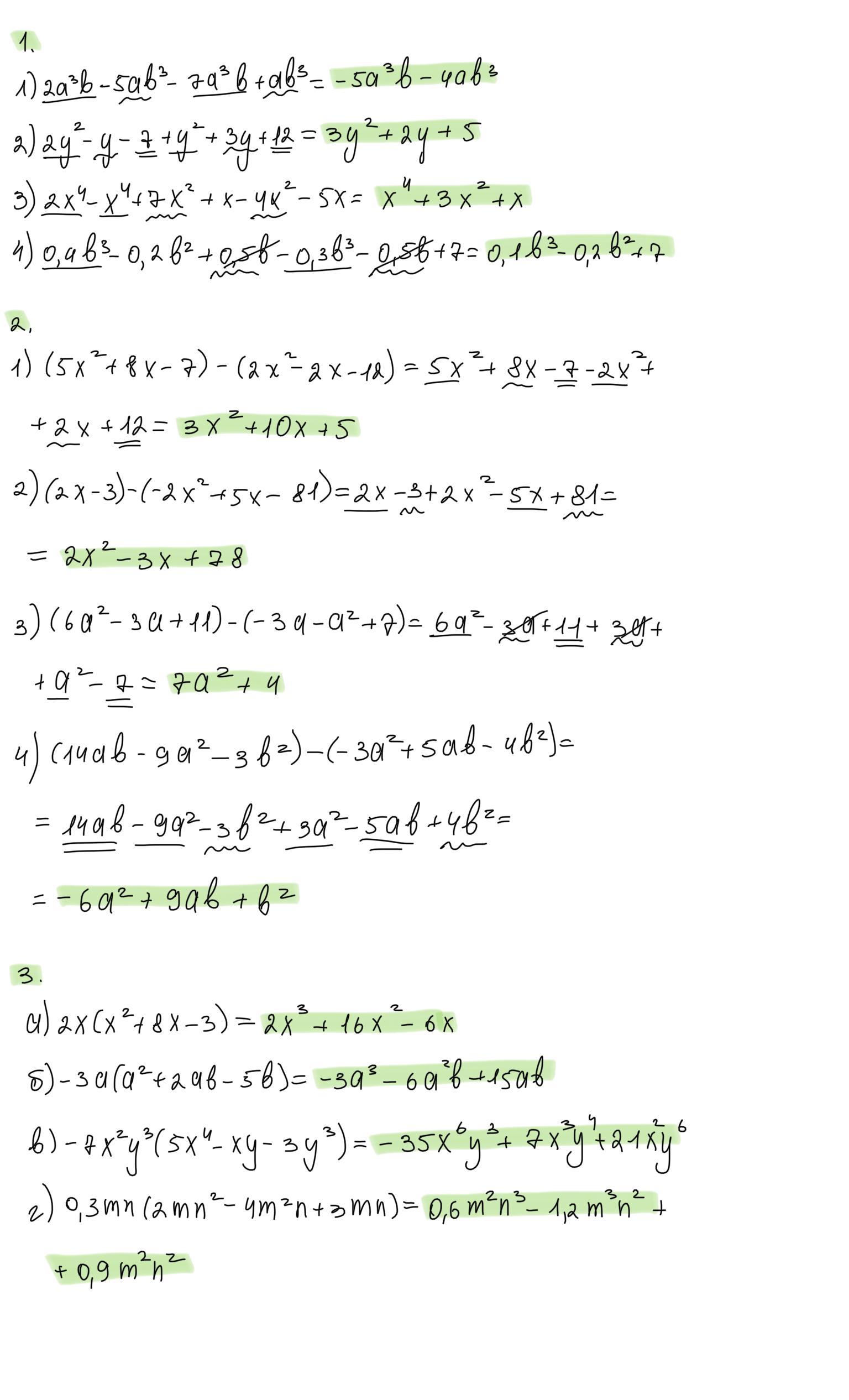
1

Решение на фото

Надеюсь помогла <З

Удачи:з

Приложения:

Аноним: Спасибо!!!
dreamer312: Не за что :)
dreamer312: Рада помочь
dreamer312: Кстати, тебе на будущее. Есть такая штука - Photomath. Пригодится.
dreamer312: Вроде должен спокойно решать такие примеры
Аноним: одна ошибка
dreamer312: Спасибо большое что предупредили автора ответа!! Если там действительно есть ошибка, благодарна вам за внимательность!:)
Ответ дал: Аноним
0

Ответ: во вложении

Объяснение:

там же

Приложения:
Вас заинтересует