• Предмет: Химия
  • Автор: petro22884
  • Вопрос задан 7 лет назад

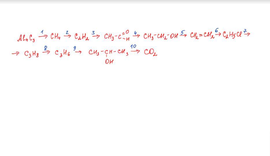
Розв'язати схему перетворень

Приложения:

Ответы

Ответ дал: Raibl
1

Ответ:

Объяснение:

Al4C3 + 12H2O → 3CH4 + 4Al(OH)3

2CH4  (t=1500°)→ C2H2 + 3H2

C2H2 + H2O → C2H4O

C2H4O (Kt=Ni,t) + H2→ CH3-CH2-OH

C2H5OH → C2H4 + H2O

C2H4 + HCl → C2H5Cl

2C2H5Cl + 2CH3Cl + 4Na → 2C3H8 + 4NaCl

C3H8 (Kt=Cr2O3)→ C3H6 + H2

C3H6 + H2O → C3H7OH

2C3H7OH + 9O2 → 6CO2 + 8H2O

Вас заинтересует