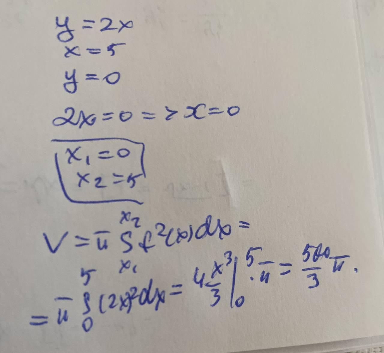
Найти объем тела вращения. Фигура, ограниченная прямыми y=2x, x=5 и y=0, вращается вокруг оси ОХ.
Ответы
Ответ дал:
0
смотрите фото.......................
Приложения:

andriy0390:
Вибачте, а можна трошки розбіроливіше? Дуже важко розібрати
Вас заинтересует
2 года назад
2 года назад
8 лет назад
8 лет назад
9 лет назад