• Предмет: Алгебра
  • Автор: sqwozero
  • Вопрос задан 7 лет назад

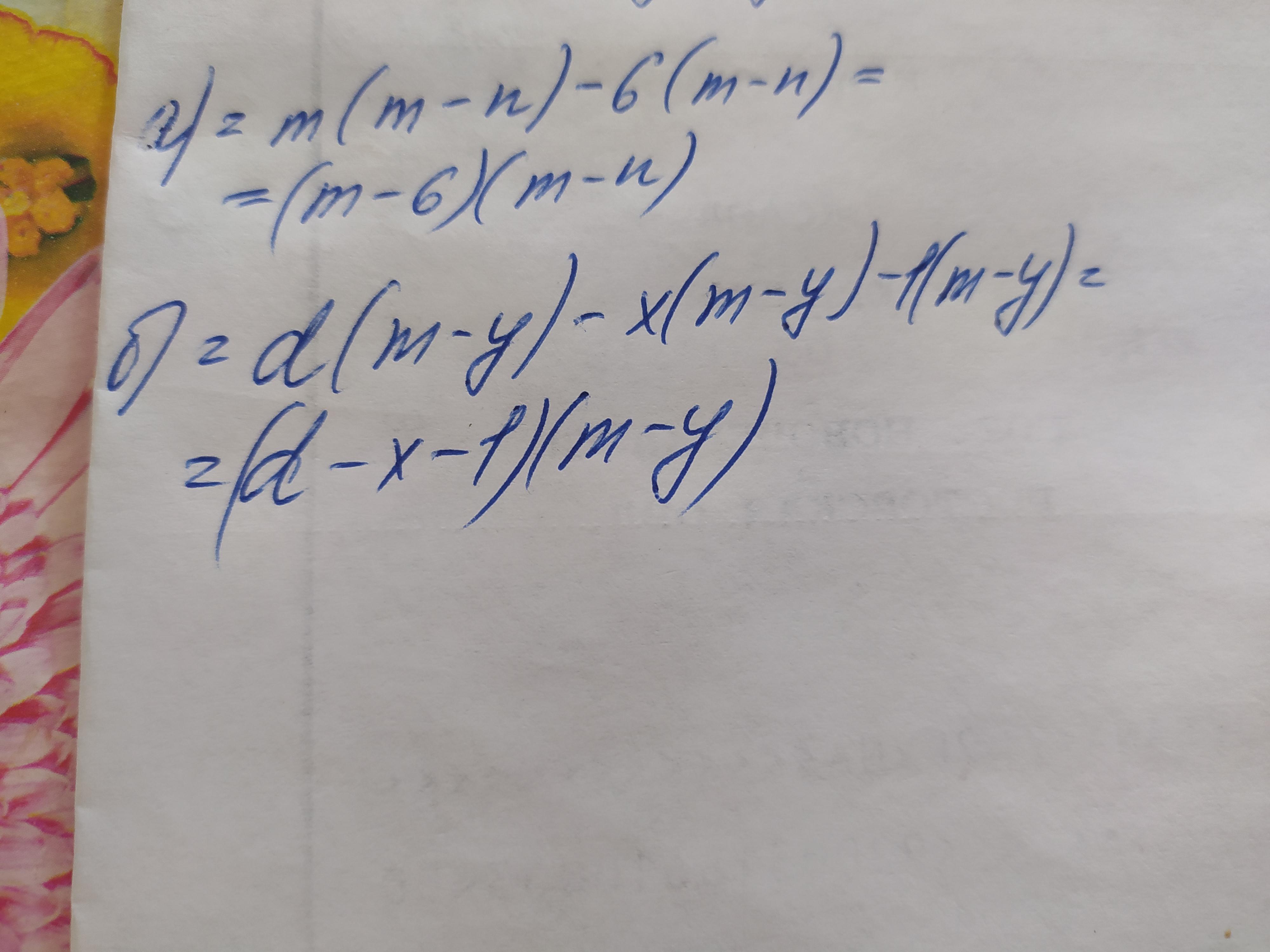
Представьте многочлен в виде произведения
а) m²-mn-6m+6n
б) dm-dy-mx+yx+y-m

Ответы

Ответ дал: tatsach
1

Ответ:

Объяснение:

.......

Приложения:
Ответ дал: StepanovZ007
0

Ответ:

а) (m-n)(m-6)

б) (y-m)(x-d+1)

Объяснение:

a) m²-mn-6m+6n = m(m-n) -6(m-n) = (m-n)(m-6)

б) dm-dy-mx+yx+y-m = -d(y-m) + x(y-m) + y-m = (y-m)(x-d+1)

Вас заинтересует