• Предмет: Алгебра
  • Автор: lilpupap
  • Вопрос задан 7 лет назад

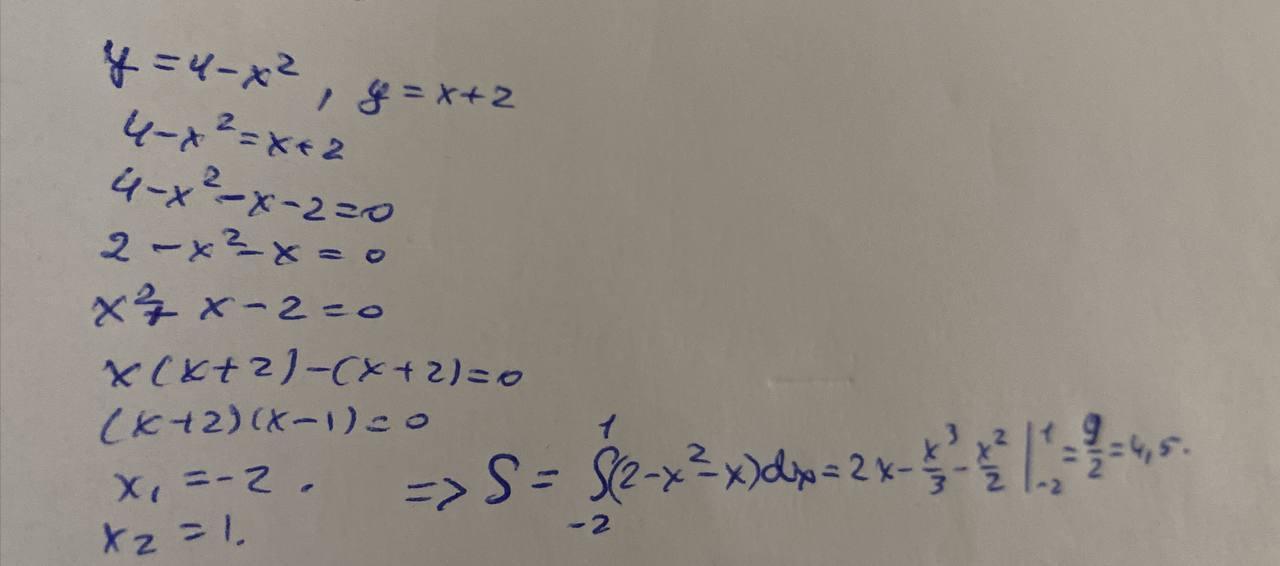
Найдите площадь фигуры,ограниченной линиями
Y=4-x^2 и y=x+2
80 баллов

Ответы

Ответ дал: yevheniiavz
1

смотрите фото...............................

Приложения:
Вас заинтересует