• Предмет: Химия
  • Автор: antoniosamara9
  • Вопрос задан 7 лет назад

допоможіть будьласка треба завтра здати
дякую наперед
всі бали свої відаю ​

Приложения:

Ответы

Ответ дал: costray44
1

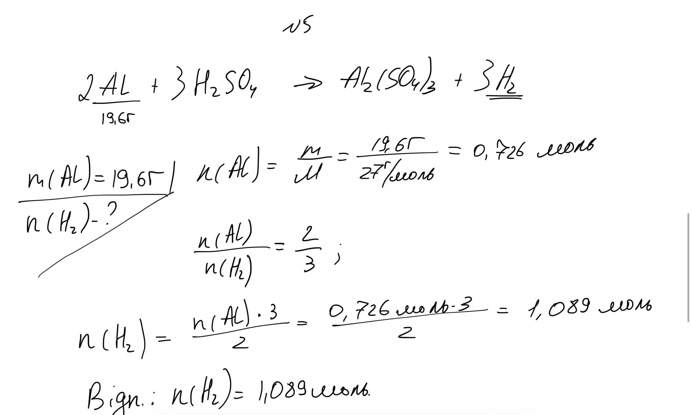
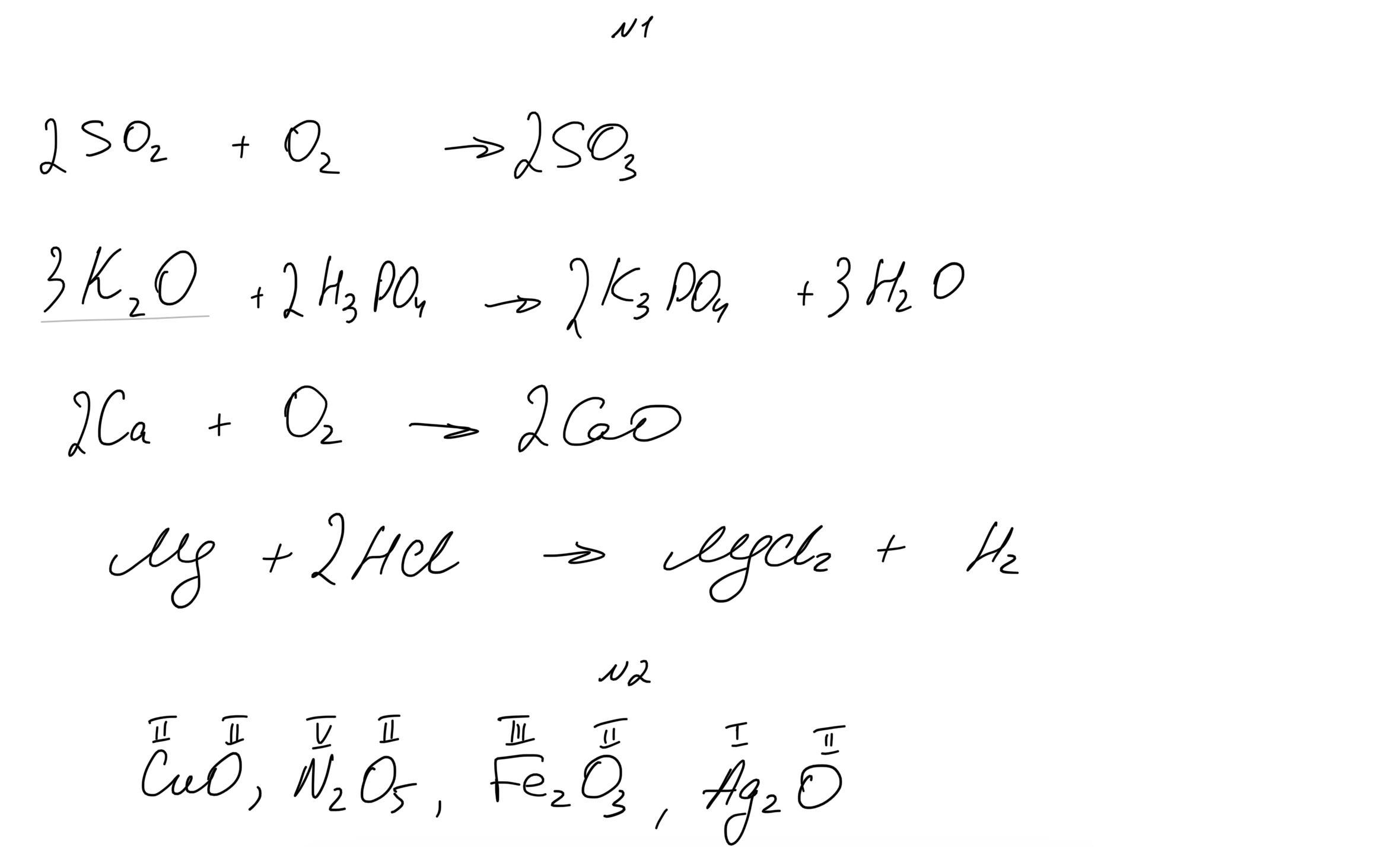
Ответ:

Объяснение:

решение на фото

Приложения:

antoniosamara9: ти просто лутший
antoniosamara9: дякую
antoniosamara9: Костя дякую ти ліпший спс
Вас заинтересует