• Предмет: Алгебра
  • Автор: andrejtkacuk023
  • Вопрос задан 7 лет назад

25 баллов Решите систему уравнений ​

Приложения:

Ответы

Ответ дал: Alan1878
0

Відповідь:

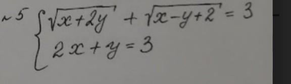
\left \{ {{\sqrt{x+2y} + \sqrt{x-y+2} = 3} \atop {2x+y = 3}} \right. \\\left \{ {\sqrt{x+2y} + \sqrt{x-y+2} = 3} \atop {y =3-2x}} \right. \\\sqrt{x+2(3-2x)} + \sqrt{x-(3-2x)+3} = 3\\ \sqrt{-3x+6} = 3-\sqrt{3x-1}\\ -3x+6=9-6\sqrt{3x-1}+3x-1\\ -3x+6+6\sqrt{3x-1}=8+3x\\ 6\sqrt{3x-1}=8+3x+3x-6\\   6\sqrt{3x-1} = 2+6x\\3\sqrt{3x-1}=1+3x\\ 9(3x-1)=1+6x+9x^2\\27x-9=1+6x+9x^2\\21x-10-9x^2=0\\(3x-2)(3x-5)=0\\

x_1 = \frac{2}{3} \\\x_2 = \frac{5}{3} \\y_1 = 3-2*\frac{2}{3} \\y_2 = 3-2*\frac{5}{3} \\y_1 = \frac{5}{3}\\ y_2 = -\frac{1}{3}

Відповідь:

(x_1;y_1) = (\frac{2}{3}; \frac{5}{3}  )\\\\(x_2;y_2) = (\frac{5}{3}; -\frac{1}{3}  )


andrejtkacuk023: расшифруй первую часть
Вас заинтересует