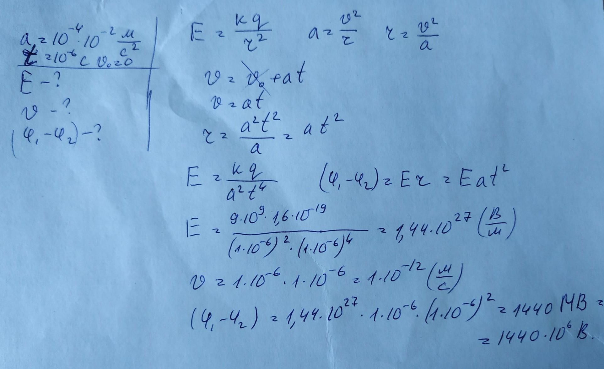
Электрон, находящийся в однородном электрическом поле, получает ускорение, равное a = 10^–14 см/с 2 . Найти: 1) напряженность электрического поля; 2) скорость, которую получит электрон за τ = 10^–6 с своего движения, если начальная скорость его была равна нулю; 3) разность потенциалов, пройденную при этом электроном.
Ответы
Ответ дал:
1
Объяснение:
Решение на фото........
Приложения:

Вас заинтересует
2 года назад
2 года назад
8 лет назад