• Предмет: Математика
  • Автор: kommaropro
  • Вопрос задан 7 лет назад

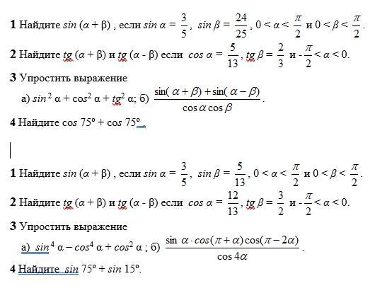
помогите решить задачи

Приложения:

Ответы

Ответ дал: perezalivitikrok
0

Ответ:

в первом a =3/5b=24/250-a-H/2и0^П/2

Вас заинтересует