• Предмет: Математика
  • Автор: Аноним
  • Вопрос задан 10 лет назад

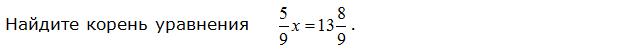
нужно найти корень уравнения 

Приложения:

Ответы

Ответ дал: nastenka210696
0


5/9х=125/9;х=125/9:5/9=125/9*9/5=25






Вас заинтересует