• Предмет: Химия
  • Автор: lomimtkeeaoking
  • Вопрос задан 7 лет назад

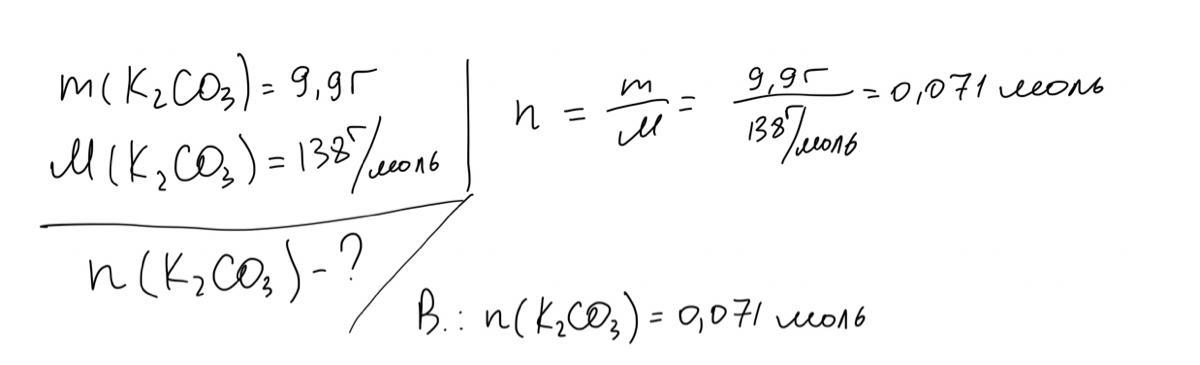
Знайдіть кількість речовини K2CO3 масою 9,9г

Ответы

Ответ дал: costray44
1
решение на фото……………..
Приложения:

lomimtkeeaoking: Здрастауйие Абалон 2, Сколько будет чистка бабиджона?спасибо за ответ!
Вас заинтересует