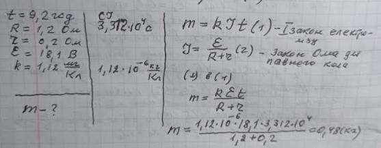
СРОЧНО!!!!!! Розрахуйте кількість срібла, що виділяється на катоді за 9,2 год, якщо опір електроліту між електродами дорівнює 1,2 Ом, джерело струму має ЕРС 18,1 В та внутрішній опір 0,2 Ом? Електрохімічний еквівалент срібла = 1,12 мг/Кл. Відповідь надайте, округливши результат до сотих.
Ответы
Ответ дал:
0
Ответ: 0,48 кг
Объяснение: Див. додаток
Приложения:

Вас заинтересует
2 года назад
2 года назад
2 года назад
9 лет назад