• Предмет: Математика
  • Автор: ddstuuxs667
  • Вопрос задан 7 лет назад

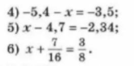
Решите уравнение

ПРОШУ ПОМОГИТЕ!!!

Приложения:

Ответы

Ответ дал: Mozila2000
0

4) -5,4 - x = -3,5

- x = -3,5 + 5,4

x = 3,5 - 5,4

x = -1,9

5) x - 4,7 = -2,34

x = -2,34 + 4,7

x = 2,36

5) x + 7/16 = 3/8

x = 3/8 - 7/16

x = - 1/16

Ответ дал: tatsach
0

Ответ:

Пошаговое объяснение:

4) х=-5,4+3,5

х=-1,9

5) х=-2,34+4,7

х=2,36

6) х=3/8-7/16

х=6/16-7/16

х=-1/16

Вас заинтересует