• Предмет: Математика
  • Автор: martmafun
  • Вопрос задан 7 лет назад

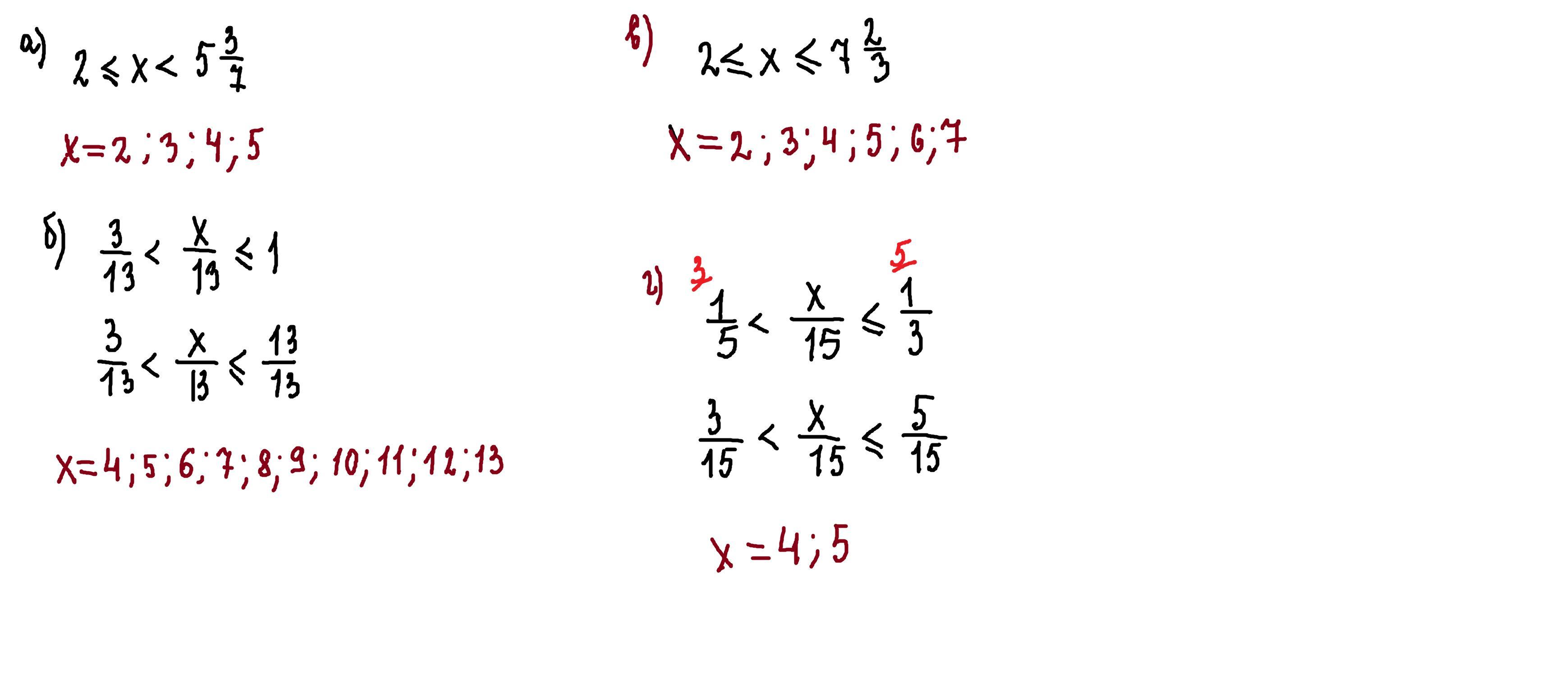
знайди всі натуральні значення х за яких нерівність буде правильною ​

Приложения:

Ответы

Ответ дал: Liuneesa
3

Відповідь: а) 2,3,4,5 б)4,5,6,7,8,9,10,11,12 в)2,3,4,5,6,7 г)4,5

Покрокове пояснення:

Ответ дал: parus77
2

Ответ:

Пошаговое объяснение:

решение внизу

Приложения:
Вас заинтересует