• Предмет: Математика
  • Автор: assfg0910
  • Вопрос задан 7 лет назад

помогите, ответы на 2 вопроса, математика 5 класс​

Приложения:

Ответы

Ответ дал: marmeladka282
0

Ответ:

1) 3/4:5= 3/4×1/5=3/20

2) 3 1/3:1 1/6=10/3:7/6= 10/3×6/7=10/1×2/7=20/7=2 6/7

Надеюсь понятно :)

Ответ дал: parus77
1

Ответ:

Пошаговое объяснение:

чтобы разделить дробь на натуральное число

1)надо записать натур.число в виде дроби с знаменателем 1

2)умножить дробь,на число,обратное данному

например

2/7 : 4=2/7 : 4/1=2/7 * 1/4=(2*1)/(7*4)=2/28=сократим на 2,т.е разделим числитель и знаменатель на 2 = 2:2/ 28:2= 1/14

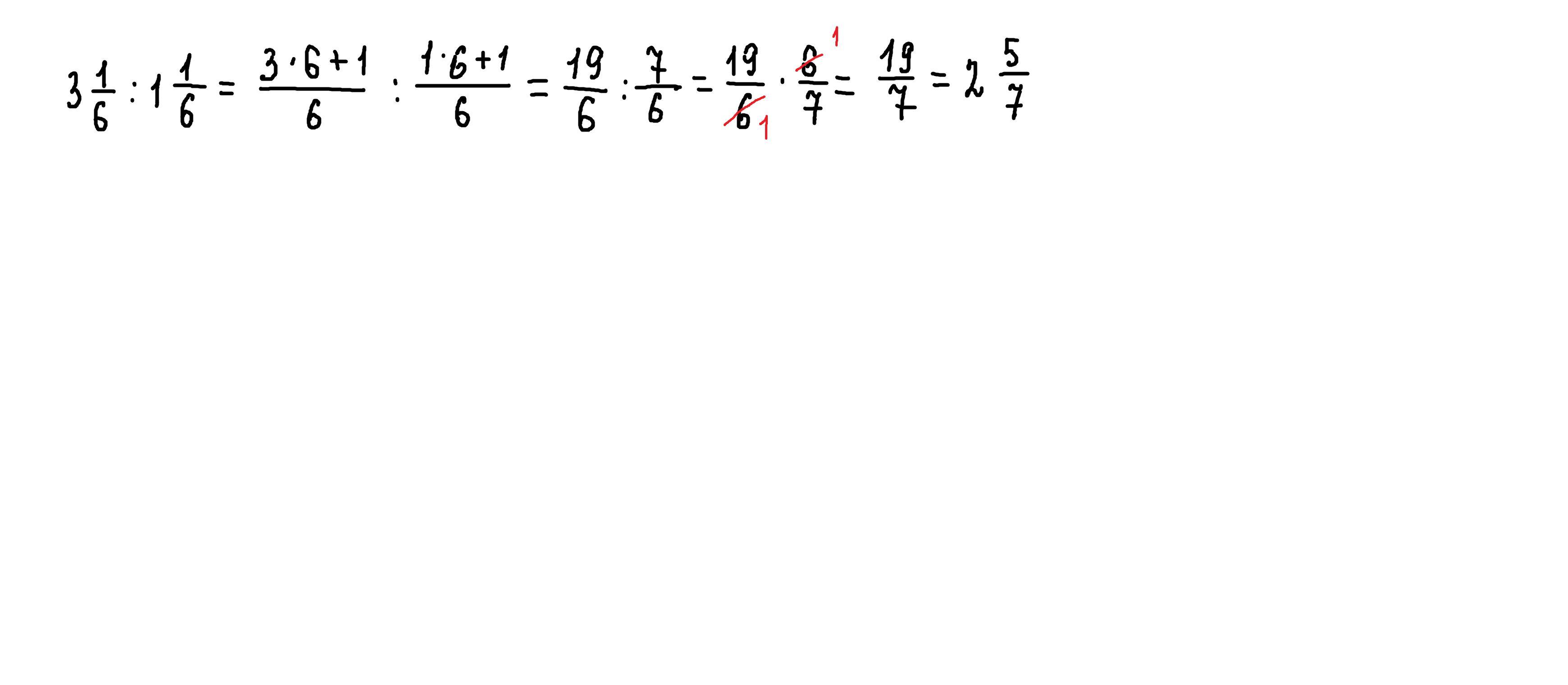
чтобы разделить 3 1/3   на  1 1/6 надо

1) записать эти дроби в виде неправильной дроби

2)умножить первую дробь на дробь,обратную второй дроби.

3)если дробь неправильная- выделить целую часть,

4)если получается сократимая дробь-то сократить.

Приложения:
Вас заинтересует