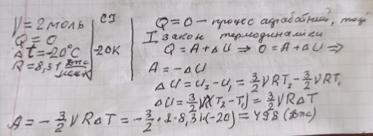
Два молі ілеального одноатомного газу розширюються без теплообміну з навколишнім середовищем .Температура газу зменшується на 20оС.Визначити роботу виконаного газом
Ответы
Ответ дал:
8
Ответ: 498 Дж
Объяснение: Див. додаток
Приложения:

daniakucher292:
Дуже вам дякую)
Ответ дал:
4
Ответ:
Объяснение:
Перевод:
Два моля идеального одноатомного газа расширяются без теплообмена с окружающей средой. Температура газа уменьшается на 20°С. Определить работу выполненного газом.
Дано:
ν = 2 моль
i = 3
Q = 0 Дж
Δt = ΔT = - 20 K
_____________
A - ?
По первому началу термодинамики:
Q = ΔU + A
Поскольку Q = 0, то работа газа:
A = - ΔU
A = - (i/2)·ν·R·ΔT
A = - (3/2)·2·8,31·(-20) ≈ 500 Дж
Вас заинтересует
2 года назад
2 года назад
8 лет назад
8 лет назад
9 лет назад