• Предмет: Математика
  • Автор: bezmenovaanfisa
  • Вопрос задан 7 лет назад

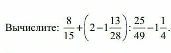
Помагите пожалуйста ВСЁ НА ФОТО ПОЖАЛУЙСТА ПОМОГИТЕ!!!! ПОЖАЛУЙСТА​

Приложения:

Ответы

Ответ дал: Svita14
1

Ответ:

\frac{8}{15}+( 2-1 \frac{13}{28}): \frac{25}{49} -1\frac{1}{4} =\frac{1}{3}

1)2-1\frac{13}{28} =1\frac{28}{28} -1\frac{13}{28} =\frac{15}{28}

2)\frac{15}{28} :\frac{25}{49} =\frac{15*49}{28*25} =\frac{3*7}{4*5} =\frac{21}{20} =1\frac{1}{20}

3)\frac{8}{15} +1\frac{1}{20} =\frac{32}{60} +1\frac{3}{60} =1\frac{35}{60}=1\frac{7}{12}

4)1\frac{7}{12} -1\frac{1}{4} =1\frac{7}{12} -1\frac{3}{12} =\frac{4}{12} =\frac{1}{3}

Вас заинтересует