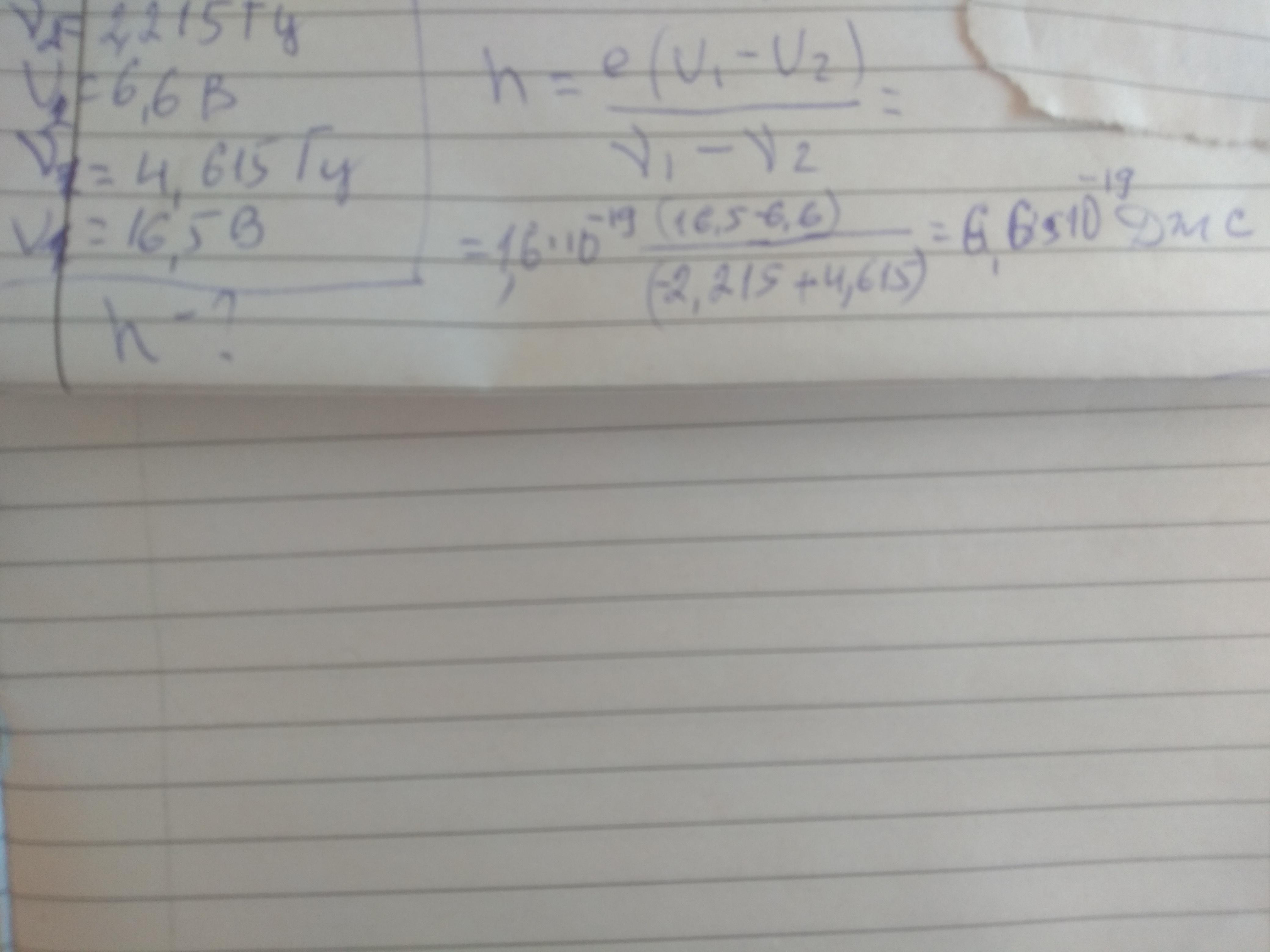
Фотоелектрони, що вириваються з поверхні деякого металу світлом із частотою 2,2 15 Гц, затримуються напругою 6,6 В, а ті, що вириваються світлом із частотою 4,6 15 Гц – напругою 16,5 В. Визначте за цими даними сталу Планка.
Ответы
Ответ дал:
2
Ответ:
см фо о
Объяснение:
Приложения:

Аноним:
Помогите пж с физикой, очень срочно)
Вас заинтересует
2 года назад
2 года назад
2 года назад
2 года назад
8 лет назад
9 лет назад