• Предмет: Алгебра
  • Автор: LinaGachakotik
  • Вопрос задан 7 лет назад

СРОЧНО!!! Помогите решить, пожалуйста!!!!!!!!!

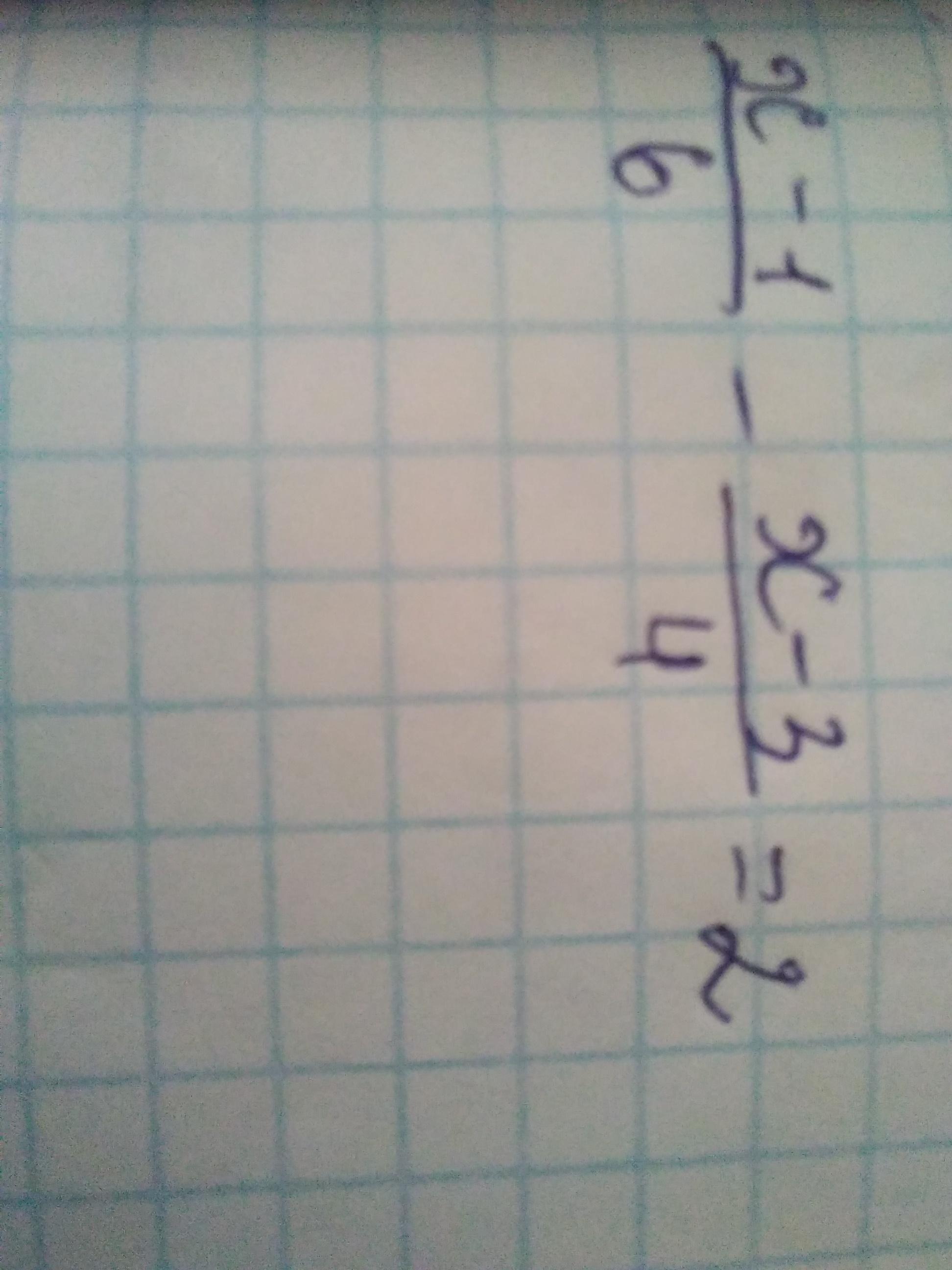
Приложения:

Ответы

Ответ дал: hdjdjdjjdjdjdj67
1

Ответ:

Умножаем все на 12

2(х-1)-3(х-3)=24

2х-2-3х+9=24

-х=24-9+2

-х=17

х= - 17

Объяснение:

Вас заинтересует