Решите пожалуйста две задачи реально надо училка зверь бошку отрежит если мы это не решим
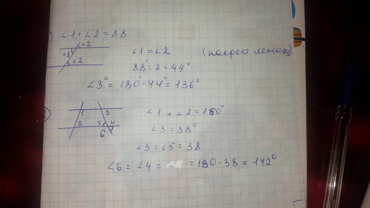
(1 вложение)Дано: угол1+угол2=88градусов
Найти:угол1 и угол 2
(2 вложение) Дано: угол 1+угол2=180градусов
.........................Найти; угол 4,угол5,угол6
ПОЖАЛУЙСТА УМОЛЯЮ РЕАЛЬНО НАДООООО
ТОЛЬКО ЧЕСНО
Приложения:


Ответы
Ответ дал:
0
угол 1 + угол 2 равен 88 по условию.
угол 1 = углу 2 так как они накрест лежащие. при а параллельна б и с секущей. отсюда следует
угол 1 = углу 2 = 88:2=44 (по идеи так)
Кинь еще фото с задачей 2, а то плохо видно
угол 1 = углу 2 так как они накрест лежащие. при а параллельна б и с секущей. отсюда следует
угол 1 = углу 2 = 88:2=44 (по идеи так)
Кинь еще фото с задачей 2, а то плохо видно
Ответ дал:
0
""""""""""""""""""""""""""""
Приложения:

Вас заинтересует
2 года назад
8 лет назад
8 лет назад
10 лет назад
10 лет назад
10 лет назад