• Предмет: Алгебра
  • Автор: Аноним
  • Вопрос задан 7 лет назад

Помогите пожалуйста с алгеброй!!!

Приложения:

Ответы

Ответ дал: anih98907
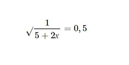
1

Ответ:

х= - 1/2

Объяснение:

1/5+2х=0,5²

1/5+2х=(1/2)²

1/5+2х=1/4

5+2х=4

2х=4-5

2х= -1

х= -1/2


Аноним: спасибо
Вас заинтересует